发布时间:2025-09-22
发布者: 创始人
浏览量:0次
1.在战国时期,有一位思想家宣扬法治,他认为没有法令,即使是尧、舜这样的圣 贤之君,也不能治理好国家。他是( )。
A.孟子
B.荀子
C.墨子
D.韩非
【答案】D
【解析】根据材料主题干的设问词可知本题是推断题。根据材料时间信息可知本题是:战国时期(中国)。根据材料概括可知:材料反映的是这位思想家强调法治思想,用法治理国家,并结合所学知识可知战国时期法家的代表人物是韩非,D项正确;孟子是儒家思想的代表,提出仁政,排除A项;荀子是儒家思想的代表,强调隆礼重法,排除B项;墨子是墨家的代表,强调兼爱、非攻、尚贤,排除C项。故选D项。
2.秦朝彻底废除分封制后,在全国推广的地方行政管理制度是( )。
A.郡县制
B.行省制
C.内阁制
D.督抚制
【答案】A
【解析】据本题题干的设问词,可知这是正向题。据本题时间信息可知准确时空是:秦朝(中国)。结合所学可知,秦朝统一六国后,为了加强中央集权,彻底废除分封制,在全国推广郡县制。A项正确;行省制是元朝开始实行的地方行政制度,与题干朝代不符,排除B项;内阁制是明朝在中央设立的辅助皇帝处理政务的机构,不属于地方行政管理制度,排除C项;督抚制在明朝开始出现,清朝时成为地方上的重要管理制度,与秦朝无关,排除D项。故选A项。
3.隋唐时期,中书省负责决策,门下省负责审议,尚书省负责执行。尚书省下设吏、户、礼、兵、刑、工六部,处理各项具体政务。这体现三省六部制的特点是( )。
A.地方自治
B.相权强化
C.分工明确
D.君权弱化
【答案】C
【解析】根据题干设问词,可知是推断题。据本题时间信息可知准确时空是隋唐(中国)。根据材料可知,“中书省负责决策,门下省负责审议,尚书省负责执行。尚书省下设吏、户、礼、兵、刑、六部,处理各项具体政务”可以清晰看出,各个部门职责明确,分工清晰,中书省决策、门下省审议、尚书省执行以及六部具体落实,体现了分工明确的特点,C项正确;三省六部制是中央官制,主要涉及中央机构的权力分配和政务处理,与地方自治并无关联,地方自治强调的是地方在一定程度上自主管理事务,而三省六部制重点在中央层面,排除A项;三省六部制下,相权被一分为三,中书省、门下省、尚书省分别行使不同权力,相互牵制和监督,目的是削弱相权而非强化相权,排除B项;三省六部制通过将相权分割,使得权力集中于皇帝手中,加强了君权,而不是君权弱化,排除D项。故选C项。
4.中国现存最早的完整农书是( )。
A.贾思勰的《齐民要术》
B.李时珍的《本草纲目》
C.徐光启的《农政全书》
D.宋应星的《天工开物》
【答案】A
【解析】据本题主题干的设问词,可知这是正向题。据本题时间信息可知准确时空是:古代(中国)。根据所学知识可知,贾思勰的《齐民要术》是中国现存最早的完整农书,A项正确;根据所学知识可知,李时珍的《本草纲目》是医药学著作,排除B项;根据所学知识可知,徐光启的《农政全书》成书于明朝,晚于《齐民要术》,排除C项;根据所学知识可知,宋应星的《天工开物》是关于农业和手工业生产的综合性著作,排除D项。故选A项。
5.祖冲之是我国古代杰出的科学家,他的主要贡献有( )。
①把圆周率精确到小数点以后的第七位数字②制定出当时最先进的历法《大明历》
③设计制造出指南车、水碓磨、千里船等④著有《齐民要术》
A.①②③
B.①②④
C.①③④
D.②③④
【答案】A
【解析】本题是组合选择题,时空是南北朝时期(中国)。据所学知识可知,在数学方面,祖冲之把圆周率精确到小数点以后的第七位数字,在历法方面,祖冲之制定出当时最先进的历法《大明历》,此外祖冲之还设计制造出指南车、水碓磨、千里船等,①②③正确,A项正确;《齐民要术》是贾思勰的著作,④不符合题意,排除BCD项。故选A项。
6.北宋中央设枢密院、三司、参知政事,分别分割宰相的军权、财权和行政权;地方除设置平行的四个路级机构监控各州之外,在州一级增设通判以制约知州。这表明北宋( )。
A.强干弱枝,守内虚外
B.崇文抑武
C.分散权力,内外相制
D.强化专制
【答案】C
【解析】根据题干设问词,可知这是本质题。根据本题时间信息可知准确时空是:北宋时期的中国。根据材料,北宋在中央通过枢密院、三司、参知政事分割宰相权力,在地方设置多个平行路级机构监控各州并增设通判制约知州。根据所学知识,北宋在中央和地方都采取措施分散权力,以防止权力过度集中,同时中央与地方相互牵制,体现了分散权力、内外相制的特点,C项正确;强干弱枝、守内虚外主要强调的是军事力量布局上加强中央军事力量,削弱地方军事力量,重点在军事方面,材料中并未突出军事力量布局相关内容,排除A项;材料强调的是权力分割与制衡,没有着重体现崇文抑武,排除B项;材料不仅有中央权力分割,还有地方权力的制衡,不仅仅是强化专制,更强调中央与地方整体上的权力分散与相互制约,排除D项。故选C项。
7.中国历史上某一朝代,中央的宰相机构是中书省,委派官员代表中书省处理地方事务,逐渐形成常设机构,称为行中书省,简称行省。据此判断该朝代是( )。
A.汉朝
B.唐朝
C.宋朝
D.元朝
【答案】D
【解析】据本题主题干的设问词,可知这是正向题。据本题时间信息可知准确时空是:元朝(中国)。根据材料和所学知识可知,元朝在中央设中书省,地方设行中书省(行省),开创了中国行省制度的先河,D项正确;“汉朝”实行郡国并行制,与题干描述不符,排除A项;“唐朝”实行道、州、县制,与题干描述不符,排除B项;“宋朝”实行路、州、县制,与题干描述不符,排除C项。故选D项。
8.宋朝时,词由士大夫的尊前开始走向市井,流入寻常的勾栏瓦肆、热闹的酒楼歌馆,一跃成为文人士大夫与市井细民都喜闻乐见的艺术形式。导致这一变化的原因是( )。
A.长途贸易的兴盛
B.商品经济的发展
C.国内交通的发达
D.小农经济的瓦解
【答案】B
【解析】据本题主题干的设问词,可知这是本质题。据本题时间信息可知准确时空是:宋朝(中国)。根据材料“词由士大夫的尊前开始走向市井,流入寻常的勾栏瓦肆、热闹的酒楼歌馆,一跃成为文人士大夫与市井细民都喜闻乐见的艺术形式”结合所学知识可知,宋朝时期,词从士大夫阶层走向市井,成为大众喜爱的艺术形式,这一变化的主要原因是商品经济的发展,市民阶层壮大,推动了文化的世俗化,B项正确;长途贸易主要促进区域经济交流和货币流通,与词的市井化无直接关联,排除A项;交通发达有助于文化传播,但这是外部条件,而非词走向市井的根本动力,根本原因仍在于市民阶层的文化需求,交通发达是辅助原因,排除C项;小农经济是中国古代社会的经济基础,其瓦解始于近代,而宋代小农经济仍占主导地位,并未瓦解,排除D项。故选B项。
9.新文化运动兴起后,《古文观止》等文言文书籍不再是学校国文教学的金科玉律。部分学校聘请新教师进行国文教学改革。出版商也开始出版白话教材,供国文教学之用。这有利于( )。
A.推动白话文的普及
B.完善现代政治体系
C.稳定社会公共秩序
D.促进社会经济发展
【答案】A
【解析】根据题干设问词,可知是影响题。据本题时间信息可知准确时空是近代(中国)。根据材料可知,出版商出版白话教材用于国文教学,学校也有新的教学安排,这必然有利于白话文在教学领域的推广,进而推动白话文的普及,A项正确;题干主要说的是国文教学方面的变化,未涉及现代政治体系的完善,与题干内容无关,排除B项;题干主要围绕国文教学以及白话文在教学中的使用,未涉及稳定社会公共秩序方面,排除C项;题干围绕的是国文教学和白话文相关内容,与社会经济发展没有直接联系,排除D项。故选A项。
10.九一八事变爆发后,中国共产党多次发表抗日宣言,并抽调大批党员干部进入东北地区组织抗日联军,率领东北军民与日寇血战于白山黑水之间。中国共产党此举( )。
A.体现了东北地区是抗战的主战场
B.打击了日本在东北的殖民统治
C.粉碎了日本迅速灭亡中国的计划
D.揭开了中国全民族抗战的序幕
【答案】B
【解析】根据题干设问词,可知是推断题。据本题时间信息可知准确时空是近代(中国)。根据材料可知,九一八事变后,日本在东北地区建立殖民统治。中国共产党抽调大批党员干部进入东北地区组织抗日联军,率领东北军民与日寇血战,给日本在东北的殖民统治以沉重打击,有力地抵制了日本对东北的殖民统治和侵略活动,B项正确;在抗日战争的不同阶段,战场情况有所不同。在全面抗战爆发前,东北地区的抗战是局部抗战的重要组成部分,但不能就此认定东北地区就是抗战的主战场,排除A项;淞沪会战粉碎了日本迅速灭亡中国的计划,而非中国共产党在东北地区组织的抗日联军抗战的作用,排除C项;九一八事变是日本局部侵华的开始,也是中国人民局部抗战的开始,但它并没有揭开中国全民族抗战的序幕。七七事变的爆发,标志着中国全民族抗战的开始,排除D项。故选B项。
11.1946年6月26日,国民党以围攻鄂豫边宣化店为中心的中原解放区为起点,相继在晋南、苏皖边、鲁西南、胶济路及其两侧、冀东、绥东、察南、热河、辽南等地,向解放区展开大规模的进攻。这标志着( )。
A.重庆谈判破裂
B.全面内战爆发
C.战略反攻到来
D.国共决战开始
【答案】B
【解析】据本题题干的设问词,可知这是正向题。据本题时间信息可知准确时空是:1946年的中国。根据材料结合所学可知,1946年6月,国民党以22万兵力进攻中原解放区,随后向各解放区展开全面进攻,这是国共内战从局部冲突升级为全国性战争的标志,B项正确;重庆谈判破裂的直接标志是1946年11月国民党单方面召开 “国民大会”,而非1946年6月的军事进攻,排除A项;解放军战略反攻始于1947年6月刘邓大军千里跃进大别山,晚于题干时间,排除C项;国共战略决战始于1948年9月,与题干时间不符,排除D项。故选B项。
12.1956至1966年十年间,我国新修铁路近8000公里,建成通车的铁路有鹰厦、兰青、兰新、川黔、桂黔等线,成昆、贵昆、湘黔、襄渝等线也在加紧修建之中。这说明当时我国( )。
A.交通事业取得进展
B.科教兴国战略取得重大成就
C.工业水平世界领先
D.改革开放推动经济快速发展
【答案】A
【解析】根据题干设问词,可知是本质题。据本题时间信息可知准确时空是1956至1966年(中国)。根据材料可知,“1956至1966年十年间,我国新建铁路近8000公里”,铁路属于交通领域,新建铁路以及诸多铁路线的建成和修建体现了当时我国交通事业取得了进展,A项正确;科教兴国战略是在20世纪90年代提出的,排除B项;题干仅描述了我国铁路建设的相关情况,并没有将我国工业水平与世界其他国家进行对比,不能得出我国工业水平世界领先的结论,排除C项;改革开放始于1978年,题干所给时间是1956-1966年,在改革开放之前,所以题干内容与改革开放推动经济快速发展无关,排除D项。故选A项。
13.2017年2月10日,人类命运共同体理念首次被写入联合国决议,此后又多次被写入联合国大会、安全理事会、人权理事会、社会发展委员会的决议中。这说明( )。
A.联合国是当今国际社会最具代表性的组织
B.中国在国际事务中积极结盟发挥主导作用
C.新时期中国外交理念逐步成为各国的共识
D.中国的国际话语权和国际影响力不断增强
【答案】D
【解析】根据题干设问词,可知是本质题。据本题时间信息可知准确时空是:2017年(世界)。根据材料信息可知,2017年,习近平总书记提出的“构建人类命运共同体”理念被联合国两大机构采纳并写入决议,说明这一理念得到国际社会认可,表明中国在国际事务中的话语权和影响力得到提升,D项正确;材料重点强调人类命运共同体理念被写入联合国相关决议,而非突出联合国的代表性,排除A项;中国奉行不结盟政策,“积极结盟” 表述错误,排除B项;“构建人类命运共同体”理念被写入决议说明得到一定认可,但“成为各国的共识”的说法夸大了其范围,排除C项。故选D项。
14.中古西欧,地方领主为其家族和亲兵提供土地作为给养。授予土地者为封君,领取土地者为封臣。封臣必须效忠封君,主要义务是服兵役。这反映了当时的社会特征是( )。
A.封君封臣制
B.自给自足
C.庄园农奴制
D.民主自由
【答案】A
【解析】根据题干设问词,可知是本质题。据本题时间信息可知准确时空是古代(世界)。根据材料可知,“封君封臣制”:其核心内容是地方领主给家族和亲兵土地,接受土地者成为封臣,封臣要对封君忠诚并服兵役。这与题目中“地方领主为其家族和亲兵提供土地作为给养。授予土地者为封君,领取土地者为封臣。封臣必须效忠封君,主要义务是服兵役”的描述完全相符,A项正确;“自给自足”:主要体现的是庄园经济的特点,即庄园内生产生活所需大多能自行满足,排除B项;“庄园农奴制”:重点是农奴在庄园中的被剥削地位以及和领主的关系,并非题目所强调的封君封臣关系,排除C项;“民主自由”:与中古西欧的实际社会情况不符,当时存在严格的封建等级制度等,并非民主自由的社会特征,排除D项。故选A项。
15.18-19世纪的英国,随着工厂的兴起,大量农民涌入城市寻找工作,形成了工业无产阶级。这促使英国( )。
A.农业生产方式形成变革
B.城市生态环境改善
C.社会阶级结构发生变动
D.工业技术迅速革新
【答案】C
【解析】根据本题主题干的设问词,可知这是影响题。根据材料时间信息可知准确时空是:18-19世纪(英国)。工业无产阶级的形成,使英国社会除了原有的贵族、资产阶级和农民阶级外,又出现了一个新的阶级,社会阶级结构发生了变动,C项正确;材料强调的是农民涌入城市,是人口流动的变化,没有涉及农业生产方式的变革,排除A项;大量农民涌入城市会使城市人口急剧增加,对城市的生态环境造成压力,而不能改善城市生态环境,排除B项;工业技术革新主要是由于科学技术的发展、市场需求的推动以及资本家追求利润等因素,与工业无产阶级的形成没有直接的因果关系,排除D项。故选C项。
16.2024年12月1日至3日,强冷空气影响我国大部分地区,下图为12月1日20:00亚洲部分地区近地面等压线图(单位:百帕)。读图1,完成16-17题。

图1
此时( )
A.呼和浩特风柔日暖
B.贵阳风向为偏南风
C.北京风速大于贵阳
D.北京气压比呼和浩特高
【答案】C
【解析】从图中可以看出,呼和浩特等压线密集,可推测其风力很大,A错误;贵阳北侧为高压,风由高压吹向低压,应为偏北风,B错误;北京等压线密集,贵阳等压线稀疏,故北京风速大于贵阳,C正确;根据等压线分布可知,北京气压比呼和浩特低,D错误。故选C。
17.2024年12月1日至3日,强冷空气影响我国大部分地区,下图为12月1日20:00亚洲部分地区近地面等压线图(单位:百帕)。读图1,完成16-17题。

图1
此次强冷空气( )
①为北京带来降水,引发城市内涝;②导致贵阳大风,阻断城市交通;
③使呼和浩特明显降温,居民出行需保暖;④利于北京的污染物扩散,改善空气质量
A.①②
B.①③
C.②④
D.③④
【答案】D
【解析】此次强冷空气会导致北京明显降温,此时为12月,应带来降雪,不会引发城市内涝,①错误;图中可看出贵阳等压线稀疏,风力较小,②错误;呼和浩特风力大,受冷空气影响,明显降温,居民出行需保暖,③正确;北京风力大,利于污染物扩散,改善空气质量,④正确。故选D。
【题组知识点:等压面与等压线的判读、寒潮】
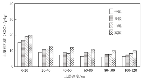
18.粮食主产区耕地土壤有机碳(SOC)空间分异特征,对于区域耕地质量管理和国家粮食安全具有重要意义。图2示意河北省粮食主产区土壤剖面SOC平均含量,据此完成18-19题。
图2
河北省粮食主产区耕地SOC含量的变化特点是( )
A.随土层深度增加呈增加趋势
B.随土层深度增加是减少趋势
C.地形地貌对SOC含量影响不大
D.海拔越高,SOC含量越小
【答案】B
【解析】从图中可以看出,随着土层深度从0-20cm到100-120cm变化,不同地形的土壤有机碳(SOC)含量柱状图高度整体呈下降趋势,即随土层深度增加呈减少趋势,A错误,B正确;不同地形在同一土层深度的SOC含量有明显差异,说明地形地貌对SOC含量影响较大,C错误;该图主要体现的是土层深度和地形与SOC含量的关系,未体现海拔与SOC含量的关系,D错误。故选B。
19.粮食主产区耕地土壤有机碳(SOC)空间分异特征,对于区域耕地质量管理和国家粮食安全具有重要意义。图2示意河北省粮食主产区土壤剖面SOC平均含量,据此完成18-19题。
图2
图中0~20cm的SOC含量较高的原因是( )
A.温度高,有机质分解作用强
B.植被覆盖度低,枯枝落叶少
C.农田施肥,增加土壤有机质
D.大水漫灌,导致土壤盐碱化
【答案】C
【解析】结合所学知识,0-20cm土层为表层土壤,在粮食主产区,农民会进行农田施肥,肥料中的有机质增加了土壤有机质含量,使得该土层SOC含量较高,C正确;温度高,有机质分解作用强,会使得土壤中有机质减少,A错误;粮食主产区有农作物种植,植被覆盖率不低,B错误;大水漫灌导致土壤盐碱化,主要影响土壤的盐分含量,与土壤有机碳含量高无关,D错误。故选C。
【题组知识点:影响土壤形成的因素】
20.图3示意日本某年各地红叶(枫叶)出现的初始日期。读图3,完成20-22题。

图3
日本四岛中,最早可以观赏到红叶的是( )
A.九州
B.四国
C.本州
D.北海道
【答案】D
【解析】从示意图中可以看出,日本各地红叶出现的初始日期最早的为9月9日,位于日本北端。日本四大岛自北向南是北海道岛、本州岛、四国岛、九州岛,故选D。
21.图3示意日本某年各地红叶(枫叶)出现的初始日期。读图3,完成20-22题。

图3
日本红叶观赏日期出现南北差异的影响因素有( )
A.山脉走向和降水
B.地形和纬度位置
C.土壤和经度位置
D.降水和洋流
【答案】B
【解析】日本南北狭长,纬度跨度大。北部地区(高纬度)气温下降较早,秋季提前,枫叶变红时间早;南部地区(低纬度)气温较高,秋季推迟,枫叶变红较晚。同时,地形越高,气温下降,红叶观赏期越早。故选B。
22.图3示意日本某年各地红叶(枫叶)出现的初始日期。读图3,完成20-22题。

图3
与N地(海滨湿地)相比,M地( )
A.海拔高,气温低
B.纬度低,湿度大
C.附近有暖流经过
D.日照强,温差小
【答案】A
【解析】M、N地均位于日本北海道。北海道地形为中部高、四周低,地形起伏较大。N地位于海滨湿地,地势平坦,海拔低,气温高。相对于N地,M地位于中部山地,海拔较高,气温较低。故选A。
【题组知识点:由赤道向两极的地域分异规律、山地垂直地域分异规律】
23.图示意我国西北地区某类地表景观的分布。读图4,据此完成23~25题。

图4
图中阴影部分代表的地表景观是( )
A.绿洲
B.草场
C.荒漠
D.冰川
【答案】C
【解析】由图可以看出,阴影部分位于我国荒漠、沙漠分布处,由此可以推断出阴影部分代表的景观为荒漠。故选C。
24.图示意我国西北地区某类地表景观的分布。读图4,据此完成23~25题。

图4
该地表景观空间分布的主要成因是( )
A.远离海洋,降水稀少
B.多为山地,蒸发旺盛
C.地处中纬,日照时间长
D.常年受副热带高压控制
【答案】A
【解析】该地区深居内陆,远离海洋,且有高大山地阻隔,来自海洋的湿润气流难以到达,降水稀少,植被稀缺,形成了荒漠景观。故选A。
25.图示意我国西北地区某类地表景观的分布。读图4,据此完成23~25题。

图4
在该地表景观分布区,能源开发利用前景更为广阔的是( )
A.地热能和水能
B.太阳能和风能
C.水能和天然气
D.煤炭和天然气
【答案】B
【解析】荒漠地区全年降雨量稀少,云量稀薄,日照天数多,太阳辐射强,太阳能资源丰富;荒漠地区纬度较高,受西风带控制,同时冬季又受到北方高压冷气团影响,主风向为西风和西北风,风力强大,持续时间长,风能资源同样丰富。故选B。
【题组知识点:影响植被的因素、气压带和风带对气候的影响】
26.浙江省统计局发布的2023年人口主要数据公报显示,2023年末全省常住人口为6627万人,与2022年末常住人口相比增加约50万人。下表是2023年浙江省及部分地级市的常住人口数据,据表完成26-27题。
地区 | 年末常住人口(万人) | 出生率(‰) | 死亡率(‰) | 城镇化率(‰) |
全省 | 6627.0 | 5.8 | 6.6 | 74.2 |
杭州市 | 1252.2 | 6.7 | 5.4 | 84.2 |
衢州市 | 229.7 | 5.3 | 8.6 | 60.6 |
舟山市 | 117.3 | 3.5 | 8.0 | 74.0 |
下列有关上表数据说法正确的是( )
A.浙江省人口净增长是因为人口迁移
B.舟山人口总量低是因为产业基础薄弱
C.杭州出生率高是因为生育政策宽松
D.衢州死亡率高是因为老年人口数量大
【答案】A
【解析】人口净增长包括自然增长和机械增长。浙江省2023年出生率为5.80‰,死亡率为6.66‰,自然增长率为5.80-6.66=-0.86‰,自然增长呈负增长,而全省常住人口增加约50万人,说明人口净增长主要是因为人口迁入,A正确。舟山市是海岛城市,地域面积小,环境承载人口数量有限,这是导致其人口总量低的主要原因,而不是产业基础薄弱,实际上,舟山有渔业、港口运输、海洋旅游等特色产业,产业基础并非薄弱,排除B。杭州是经济发达城市,就业机会多、生活水平高、教育医疗资源丰富等因素吸引大量年轻人流入,年轻人比例相对较高,生育意愿和生育能力相对较强,这是杭州出生率相对较高的主要原因,而不是生育政策宽松,因为全省生育政策是统一的,排除C。衢州死亡率高,主要是因为经济相对落后,大量青壮年劳动力外出务工,导致当地老年人口占比相对较高,而不是老年人口数量大,一个地区死亡率高低与老年人口占比关系更为密切,而不是老年人口数量,排除D。故选A。
27.浙江省统计局发布的2023年人口主要数据公报显示,2023年末全省常住人口为6627万人,与2022年末常住人口相比增加约50万人。下表是2023年浙江省及部分地级市的常住人口数据,据表完成26-27题。
地区 | 年末常住人口(万人) | 出生率(‰) | 死亡率(‰) | 城镇化率(‰) |
全省 | 6627.0 | 5.8 | 6.6 | 74.2 |
杭州市 | 1252.2 | 6.7 | 5.4 | 84.2 |
衢州市 | 229.7 | 5.3 | 8.6 | 60.6 |
舟山市 | 117.3 | 3.5 | 8.0 | 74.0 |
关于浙江省城镇化说法正确的是( )
A.浙江省已经进入逆城镇化阶段
B.浙江省城镇化水平提高的动力是经济发展
C.浙江省城镇化水平高,速度快
D.各地市城镇化水平高低与人口总量成正比
【答案】B
【解析】逆城镇化是指城市人口向乡村和小城镇回流的现象。浙江省城镇化率为74.2%,虽然城镇化水平较高,但仍处于城镇化的发展阶段,并没有进入逆城镇化阶段,排除A。经济发展是城镇化的主要动力,浙江省经济发达,工业和服务业发展迅速,提供了大量的就业机会,吸引了农村人口向城市转移,从而推动了城镇化水平的提高,B正确。表格中仅给出了2023年的城镇化率数据,没有不同时间的对比,无法判断城镇化速度快慢,排除C。城镇化水平是指城镇人口占总人口的比重,与人口总量没有直接的比例关系,例如,舟山市人口总量低,但城镇化率达到74.0%;衢州市人口总量相对较高,但城镇化率为60.6%,排除D。故选B。
【题组知识点:城镇化、人口自然增长率、人口数量变化的方式】
28.“哪吒企业”是指成立时间不超过3年,并获得1亿元人民币以上融资的新经济企业。这类企业虽然成立时间不长,但是具有成长起点高、赛道领域新、场景创新强等特征,恰如中国神话故事中的哪吒形象,一出生就能跑,踩着风火轮行驶在新赛道上,飞速成长。约67%的“哪吒企业”分布在北、上、苏、杭、深等城市。据此完成28-30题。
下列产业中更容易产生哪吒企业的是( )
A.钢铁工业
B.纺织工业
C.飞机制造业
D.人工智能
【答案】D
【解析】根据材料可知,“哪吒企业”是新经济企业,具有成长起点高、赛道领域新、场景创新强等特征,人工智能属于新兴的高科技产业,符合“哪吒企业”赛道领域新、创新强等特点,D正确;钢铁工业是传统重工业,以资源和资金密集为主,创新场景和赛道领域新方面不突出,A错误;纺织工业是传统的劳动密集型产业,技术含量较低,创新程度相对不高,不符合“哪吒企业”特征,B错误;飞机制造业虽然技术含量高,但属于传统的高端制造业,并非新经济范畴,C错误。故选D。
29.“哪吒企业”是指成立时间不超过3年,并获得1亿元人民币以上融资的新经济企业。这类企业虽然成立时间不长,但是具有成长起点高、赛道领域新、场景创新强等特征,恰如中国神话故事中的哪吒形象,一出生就能跑,踩着风火轮行驶在新赛道上,飞速成长。约67%的“哪吒企业”分布在北、上、苏、杭、深等城市。据此完成28-30题。
“哪吒企业”能飞快成长主要得益于( )
A.交通便利,运输成本低
B.产品更新换代周期长
C.资金雄厚,研发能力强
D.劳动力丰富,工资低
【答案】C
【解析】“哪吒企业”成立时间短却能飞速成长,从其定义可知能获得1亿元以上融资,为企业研发提供了充足的资金支持,强大的研发能力使企业能够不断创新,推出新的产品和服务,从而实现快速成长,C正确;交通便利、运输成本低不是“哪吒企业”快速成长的主要原因,因为这类企业更多依赖技术和创新而非运输,A错误;“哪吒企业”所处的新经济领域,产品更新换代周期通常较短,不是长,B错误;“哪吒企业”不是劳动密集型企业,对劳动力丰富且工资低的依赖程度低,D错误。故选C。
30.“哪吒企业”是指成立时间不超过3年,并获得1亿元人民币以上融资的新经济企业。这类企业虽然成立时间不长,但是具有成长起点高、赛道领域新、场景创新强等特征,恰如中国神话故事中的哪吒形象,一出生就能跑,踩着风火轮行驶在新赛道上,飞速成长。约67%的“哪吒企业”分布在北、上、苏、杭、深等城市。据此完成28-30题。
“哪吒企业”集中分布在北、上、苏、杭、深等城市的主要影响因素是( )
A.交通
B.科技
C.市场
D.原料
【答案】B
【解析】北、上、苏、杭、深等城市是我国科技发达、人才集聚的地区,“哪吒企业”作为新经济企业,对科技和创新要求高,在这些城市能够获得丰富的科技资源、高素质的人才以及良好的创新环境,有利于企业的发展,B正确;交通、市场虽然也是影响因素,但不是主要因素,AC错误;“哪吒企业”大多不是原料导向型企业,原料不是其集中分布在这些城市的主要影响因素,D错误。故选B。
【题组知识点:工业的主要区位因素】
31.阅读材料,完成下列要求。
材料 嘉靖至万历年间,明朝政府逐渐突破传统重农抑商思维,将发展商品经济上升为国策。朝廷通过开放海禁(隆庆开关)、推行“一条鞭法”等举措,构建起以“通商裕国”为核心的财政体系。明代中后期的国家治理转型不仅体现在白银货币化进程加速,更反映在商税征收制度化、市舶司职能专业化等治理创新,也表现在商人此时也获得了“附籍占产”的合法身份。
——摘编自张明富、侯捷《明代中后期国家治理转型研究》
根据材料一并结合所学知识,简析明代中后期国家治理转型的主要原因。
【答案】主要原因:商品经济发展与全球白银流入,推动货币经济转型;财政危机倒逼政策调整,开放海禁以缓解海防压力;“工商皆本”思潮冲击传统观念,为政策转型提供理论支持;新航路开辟后,欧洲殖民扩张与全球贸易网络形成,迫使明朝参与国际竞争。(任答三点即可)
32.阅读材料,完成下列要求。
材料 1978年,安徽省凤阳县小岗村18位农民签下“生死状”,将村内土地分开承包,开了家庭联产承包责任制的先河。当年,小岗村粮食产量就达到了13.3万斤,一举结束了20多年吃国家救济粮的历史。此后,家庭联产承包责任制在全国逐步推广。到1983年初,全国农村已有93%的生产队实行了这种责任制。家庭联产承包责任制的实行,极大地调动了农民的生产积极性,促进了农业生产的发展,为农村经济的繁荣奠定了基础。
——摘编自章玉丽《中国农业现代化路径选择研究》
关于家庭联产承包责任制在全国推广的主要原因,史学界有不同的看法。根据材料并结合所学知识,分析家庭联产承包责任制在全国推广的主要原因。
【答案】主要原因:小岗村实践的成功示范;人民公社体制的弊端;家庭联产承包责任制符合当时中国国情;政府的支持与推动。
33.随着新航路的开辟,人类社会发生了深刻的变化。阅读材料,完成下列要求。
材料一 16—18世纪的大西洋贸易,包括传统意义上的三角贸易和直接贸易。随着大西洋贸易的发展,英国工业经济迅速发展,棉纺织业、玻璃制造业、丝织业、肥皂业等新的工业部门也建立并发展起来。如果以1700年的发展指数为100,1800年时英国出口工业指数为544。法国的工业生产也因大西洋贸易对工业品需求的增加而得到政府的扶持,1787年法国出口的工业品占到了出口总额的34.2%。
——摘编自于民《16—18世纪的大西洋贸易与现代早期世界经济的不平衡发展》
根据材料并结合所学知识,简析16—18世纪大西洋贸易的历史影响。
【答案】影响:加速了西欧的资本原始积累;推动了工业革命的兴起和发展;使世界各地区间的贸易联系日益加强(或推动了世界市场的形成与发展);造成了非洲人口的大量损失和经济上的落后;导致了世界经济的不平衡发展。
34. 阅读图文材料,完成下列要求。(14分)
大路村位于湖北省武汉市近郊地区,早期以水稻种植为主,到2007年,该村村民年收入不到3千元。2007年后,大路村试点武汉市“三乡工程”——市民下乡、能人回乡、企业兴乡,推动了当地的城乡协调发展。此外,大路村通过发展大棚种植、畜禽饲养等设施农业,配套建设荷花园、蔬果园等田园综合体,发展乡村旅游。至2021年,村民人均年收入超过3.7万元,大路村成为我国乡村振兴的典范。如图示意2007~2021年大路村土地利用变化。
(1)从土地利用变化的角度,说明大路村村民收入增加的途径。(4分)
【答案】一般农地转为设施农业用地和坑塘水面,经济作物和禽畜、水产养殖增加促进村民增收;工业用地增加,土地租金和村民劳务收入增加;旅游用地增加,村民从事旅游服务增加收入。
【解析】)题干提到大路村通过发展“大棚种植、畜禽饲养等设施农业”,图中土地利用变化显示部分农田转为大棚(设施农业)和水塘(坑塘水面),设施农业(大棚)适合种植反季节蔬菜、花卉等经济作物,坑塘水面发展水产养殖,畜禽饲养(如家禽、牲畜)直接提供肉蛋产品,三者均比水稻利润更高,村民通过销售农产品直接增收;村民将土地出租给企业获得租金;企业提供就业岗位(如加工、物流),村民通过务工获得工资性收入;题干提到配套建设“荷花园、蔬果园等田园综合体”,图中新增旅游用地,村民参与旅游服务(如农家乐、导游、特产销售),或通过土地入股分红获得收益。
(2)分析“三乡工程”对促进当地城乡协调发展的作用。(5分)
【答案】实现城市资本、技术和管理经验等要素进入农村,实现城乡要素的流动;企业投资促进乡村产业发展,缩小城乡收入差距;优化乡村的基础设施建设与空间布局,缩小城乡差距。
【解析】材料中提到“三乡工程”包括“市民下乡、能人回乡、企业兴乡”,这三类主体(市民、能人、企业)均来自城市或具备城市资源,实现城市资本、技术和管理经验等要素进入农村,实现城乡要素的流动;材料中“企业兴乡”直接推动了大路村的大棚种植、畜禽饲养等设施农业和田园综合体建设,形成多元化产业,提高了农村收入水平,缩小城乡收入差距;乡村旅游和田园综合体发展需配套道路、餐饮、住宿等设施,建设用地增加或布局优化,空间规划更趋合理,城乡生活品质差距缩小,促进城乡协调发展。
(3)列举大路村在推进乡村旅游发展过程中可能采取的措施。(5分)
【答案】以乡村田园为依托,开发特色农副产品;开展多样化农事活动体验项目;完善旅游基础设施和配套服务;加强乡村生态保护和环境管理;加强政策支持与资金投入。
【解析】大路村从传统水稻种植转向设施农业和田园综合体(如荷花园、蔬果园),说明其注重农业多样化发展,以乡村田园为依托,开发特色农副产品;农事体验(如采摘、种植)能吸引市民下乡(呼应“三乡工程”中的“市民下乡”),增加游客停留时间和消费;收入提升后,需投资交通、餐饮、住宿等设施(如改造民宿、修建停车场),完善旅游基础设施和配套服务;加强乡村生态保护和环境管理,避免过度商业化对乡村原真性的破坏;大路村成功得益于“三乡工程”政策,后续发展需持续政策扶持和企业投资。
【题组知识点:乡村的土地利用及空间结构、城市和乡村区位因素、城镇化问题】
35. 阅读图文材料,完成下列要求。(16分)
材料一:永定河是北京的母亲河,为海河水系中一条较大的支流,由洋河和桑干河两大支流组成,全长747公里,全流域面积4.7万平方公里。桑干河—永定河—海河流经内蒙古、山西、河北、北京、天津,注入渤海(如下图)。
桑干河流域内风大沙多、干旱少雨、土壤侵蚀较严重、土壤贫瘠、植被覆盖较差,是众所周知的多泥沙河道和京津风沙源的三大通道之一,处于我国生态脆弱带。
材料二:泃河流域地跨京津冀三地。某校中学生到该流域进行野外研学。下图为泃河流域局部示意图。
任务:走访桑园水文站桑园水文站记录了海子水库多年入库径流量,如表所示。
年份 | 2008 | 2009 | 2010 | 2011 | 2012 | 2013 | 2014 | 2015 | 2016 | 2017 |
年径流量/m3 | 23 | 11 | 0 | 24 | 37 | 47 | 7 | 0 | 26 | 33 |
材料三:滨海湿地是陆地与海洋间交错地带,包括人工湿地和天然湿地两大类。京津冀城市群是我国北方政治中心和经济的核心地带,群内滨海湿地资源丰富。渤海湾污染呈现“陆海交织”特征;陆源污染:京津冀入海河流(如海河、滦河)携带农业面源污染(化肥、农药)、工业废水(天津石化、河北钢铁)及生活污水,导致近海水体氮、磷超标。海洋污染:港口航运频繁,船舶油污泄漏风险高;河北省近海养殖区(如唐山曹妃甸)饵料残留加剧富营养化。目前,三地已建立“渤海湾环境监测联合网络”。
(1)从地理位置的角度说明桑干河流域成为生态脆弱带的原因。(6分)
【答案】处于温带季风区与温带大陆性气候区过渡地带;处于半湿润区与半干旱过渡地带;黄土高原与内蒙古高原的交界地带;生态结构稳定性差,恢复时间长。
【解析】由图可知,桑干河流域年降水量约400mm-500mm之间,处于温带季风区与温带大陆性气候区过渡地带。温带季风气候降水集中在夏季,降水相对较多;温带大陆性气候降水较少且降水变率大。这种过渡特征使得该地区降水的稳定性较差,生态系统对水分条件变化较为敏感。同时,它又处于半湿润区与半干旱过渡地带,半湿润区水分相对较多,半干旱区水分匮乏,在这一过渡区域,水资源条件不稳定,易出现干旱等不利于生态的状况,影响植被生长等生态要素。它还是黄土高原与内蒙古高原的交界地带。不同地形区的土壤、植被等生态要素差异大,交界地带生态系统较为复杂,生态结构稳定性差,一旦遭到破坏,恢复时间长,所以成为生态脆弱带。
(2)分析海子水库入库径流量的变化特点及其主要影响因素。(4分)
【答案】入库径流量年际波动大,个别年份无径流入库;降水、生态用水、生产生活用水等人类活动用水情况会影响入库径流量。
【解析】观察表格数据可知,海子水库入库径流量年际波动大,且2010年、2015年个别年份无径流入库。降水是入库径流的主要补给来源,降水的年际变化大导致入库径流量年际波动大。同时,流域内生态用水、生产生活用水等人类活动用水情况也会影响入库径流量。如果某一年生态用水增加,或者生产生活用水大量抽取,都会减少入库径流量。
(3)从协同发展角度,京津滨海地区可采取哪些具体措施改善滨海湿地内的水环境。(6分)
【答案】政策协同:建立京津冀统一的污染物排放标准,实施跨区域环保联合执法;
技术协作:共享污染监测数据,联合研发海洋生态修复技术(如人工湿地、生物降解);
产业调整:天津与河北协同淘汰高污染产业,发展循环经济(如临港生态工业园);
公众参与:三地联合开展环保宣传,鼓励公众监督举报污染行为。
【解析】协同发展是指协调两个或者两个以上的不同资源或者个体,相互协作完成某一目标,达到共同发展的双赢效果。本小题回答时应以协同发展为重点,从多方面对水环境治理措施进行考虑,如在政策、技术、产业、社会等方面进行协作,共同改善水环境状况。
【题组知识点:生态脆弱区的地理特征、河流和湖泊的水系及水文特征、区域关联性与区域发展】
招生咨询群号:“湖北工业大学继续教育学院成人高等教育招生咨询群”号码是1018593198;(均要求考生以实名加入)

湖北工业大学继续教育学院